요꼬가와는 1915년 창립이래 계측, 제어, 정보기술을 축으로
최첨단의 제품을 산업계에 제공함으로써 사회 발전에 공헌해오고 있습니다.
Application
To evaluate AC adaptors, engineers must acquire the voltage, current, power, and I/O efficiency of input signals (100 VAC) and DC output signals (12 VDC) in both loaded and unloaded states. There are also cases where two outputs come from one AC signal input. The WT500 Power Analyzer handles these tasks efficiently because it can calculate total efficiency and other parameters under those conditions in a single unit.

You can display the AC voltage, current, and power from the input plus two systems of measured DC voltage, DC current, and power from the output. I/O efficiency ((output power 1 + output power 2) /input power) can also be displayed.

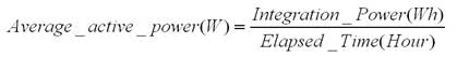
* With no load, current can be a repetitive intermittent signal with widely fluctuating current values resulting in unstable power values. In this case, you can average the data by lengthening the data update rate or by using the Average function. If this does not stop the fluctuation, you can calculate the average power value by measuring mean active power with the Integration function.
Calculation of Average Active Power



Since intermittently-occurring instantaneous power values constantly fluctuate as in the figure above, the displayed value differs at each data update. However, if the repeatedly occurring instantaneous power values are averaged, the average approaches a knowable, constant value that can be confirmed.
Solution Features
WT500 Features