요꼬가와는 1915년 창립이래 계측, 제어, 정보기술을 축으로
최첨단의 제품을 산업계에 제공함으로써 사회 발전에 공헌해오고 있습니다.
요꼬가와 오실로스코프의 실제 노이브 플러오 (true noise floor)는 일반적으로 ≤ 2~3 mVpp 수준입니다.
예를 들어, DL9000 디지털 오실로스코프는 입력 종단을 50Ω으로 설정하고 2 mv/div 조건에서 약 280 µV의 잔류 노이즈 (residual noise)를 가집니다.
잔류 노이즈 측정 방법
잔류 노이즈는 다음과 같은 방법으로 측정할 수 있습니다.
• 모든 케이블과 프로브를 분리한 상태에서
• V/DIV 를 가장 낮은 값으로 설정하고
• 피크-피크 (Pead-Peak) 측정을 수행
이때 화면에 표시되는 기준선 (baseline)은 오실로스포크 내부 노이즈를 나타내며, 이 노이즈는 프런트엔드 감쇠기 회로 이후에서 발생합니다.
노이즈 비교 시 권장 설정
노이즈를 시각적으로 비교할 때는 다음 설정을 확인하십시오.
• 샘플링 모드 (Sampling Mode) : RealTime
• 인터리브 (Interleave) : OFF
• 감쇠 (Attenuation) : 1:1
• 트리거 모드 (Trigger Mode) : Auto
• 보간 (Interpolation) : OFF
감쇠비 (Attenuation Ratio)의 영향
감쇠비를 1:1로 유지하지 않으면, 설정된 감쇠비만큼 잔류 노이즈 레벨도 함께 증가합니다.
예를 들어, 10:1 패시브 프로브는 신호를 오실로스코프에 입력하기 전에 1/10로 감쇠합니다. 오실로스코프는 이를 보상하기 위해 입력 신호를 10배 증폭하므로,
• 1:1 감쇠에서 2 mVpp이던 잔류 노이즈는
• 10:1 감쇠 설정 시 20 mVpp로 증가하게 됩니다.
V/DIV 설정에 따른 영향
잔류 노이즈 레벨은 V/DIV 설정에 따라 달라집니다.
두 대의 오실로스코프를 비교할 때는 감쇠비와 V/DIV 설정이 동일한지 반드시; 확인해야 합니다.
추가 정보
• 입력을 접지한 상태 (Input Couling = GND) 에서 노이즈를 비교해야 경우, 감쇠비를 1:1로 설정하십시오.
• 전원 노이즈를 평가하는 애플리케이션에서는 차동 프로브 (Differential Probe) 사용을 권장합니다.
• 측정 정확도가 허용되는 경우에는 1:1 설정의 패시브 프로브도 사용할 수 있으나, 그라운드 리드는 가능한 한 짧게 유지하여 추가 노이즈를 방지해야 합니다.
주의 사항
• 프로브, 주변 환경, 그리고 DUT (Device Uncer Test) 자체도 추가적인 노이즈를 발생시킬 수 있습니다.
• 이러한 노이즈를 줄이기 위해 Hi-Res 모드, LP 필터, /G2 사용자 정의 Math 필터 등을 활용할 수 있습니다.
외부 단자와 버스 트리거 / 타임 베이스 간의 지연 시간은 다음과 같습니다.
1. TRIG IN 단자에서 입력 시
TRIG IN → 버스 트리거 신호 : 40 ns (대표값)
TRIG In → 타임 베이스 신호 : 25 ns (대표값)
2. EXT. I/O 단자에서 입력 시
EXT. I/O → 버스 트리거 신호 : 25 ns (대표값)
EXT. I/O → 타임 베이스 신호 : 10 ns (대표값)
3. EXT. I/O 단자에서 출력 시
EXT. I/O ← 버스 트리거 신호 : 25 ns (대표값)
EXT. I/O ← 타임 베이스 신호 : 25 ns (대표값)
4. 버스 트리거 / 타임 베이스와 각 측정 모듈 간 지연
버스 트리거 또는 타임 베이스와 각 측정 모듈 사이의 지연 시간은 모듈 종류에 따라 다릅니다.
아래는 예시입니다.
버스 트리거 신호 → WE7111 디지털 오실로스코프 모듈 :
30 ns + 샘플링 간격 (대표값*)
*대표값 (Typical value)은 일반적이거나 평균적인 값을 의미하며, 엄격히 보장되는 값은 아닙니다.
요꼬가와 DL/DLM6000 Digital Oscilloscope 시리즈는 최대 4개의 Math Channel을 지원합니다.
각 Math Channel은 M1~M4 버튼을 눌러 사용할 수 있습니다.
파형 라벨에는 최대 16자까지 입력할 수 있습니다.
하지만 DL850 ScopeCorder 화면에는 최대 8자까지만 표시됩니다.
최대 8개의 720230 논리 입력 모듈 설치 가능
총 128개의 논리 비트 (Logic Bits)지원
고속 데이터 기록 (트리거 모드 / 게이트 모드) 시, Digitizer Module은 내부 메모리를 갖추고 있어, PC 쪽의 부하 상태에 영향을 받지 않고 신뢰할 수 있는 데이터를 기록할 수 있습니다.
WE7251 : 1 Mword
WE7271 / WE7272 / WE7275 : 4 Mword
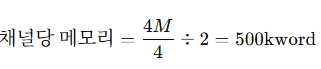
채널별 레코드 길이 계산
채널별 레코드 길이는 총 메모리 용량 ÷ 모듈당 측정 채널 수로 계산됩니다.
예 : WE7271 / WE7272 에서 3채널 선택 시, 내부적으로 4채널로 간주됩니다.
WE7251 여러 모듈 연결 시 : 채널 수와 관계업이 채널당 100 kword로 제한됩니다.
예시 :
WE7271 / WE7272 에서 4채널 사용 시, 채널당 1 Mword 사용 가능
Repeat 기능 사용 시
트리거 모드에서 Repeat 기능을 사용하면, 메모리 최대 레코드 길이는 위 값의 절반이 됩니다.
예시 :
WE7271 / WE7272 , 트리거 모드, 4채널, Repeat 기능 사용 시:

화면 이미지 전송에는 최대 약 10초가 소요될 수 있습니다.
일반적으로는 6~7초 정도 걸리지만, PC 성능과 GPIB 보드 사양에 따라 달라질 수 있습니다.
DL1540C Digital Oscilloscope의 경우, 화면 이미지 데이터에 컬러 정보가 포함되어 있으므로 10초 이상 걸릴 수도 있습니다.
사용 중인 PC의 타임아웃 (Time-out)설정을 충분히 길게 설정하여 전송 시간이 충분히 확보되도록 해야 합니다.
DL2700 Digital Oscilloscope에서 GPIB를 통해 PC로 측정 데이터를 전송하는 시간
1. 바이너리 (Binary) 데이터 전송 속도
데이터 용량 시간
1 kW 0.035 s
10 kW 0.180 s
50 kW 0.779 s
100 kW 1.536 s
250 kW 3.812 s
500 kW 7.527 s
1 MW 15.0674 s
2 MW 30.000 s
2. ASCII 데이터 전송 속도
데이터 용량 시간
1 kW 3.067 s
10 kW 30.50 s
50 kW 152 s
100 kW 335 s
250 kW 838 s
500 kW 1680 s
1 MW 3356 s
참고 : 위 시간은 PC에서 데이터 전송 요청 명령을 보낸 시점부터 데이터 수신이 완료될 때까지 실제 측정된 값이며, 참고용으로 사용하시기 바랍니다.
성능은 펌웨어 버전에 따라 달라질 수 있습니다. 실제 측정된 참고 값은 다음과 같습니다.
1. 230 MB MO에 바이트 (byte) 단위 데이터 저장
데이터 용량 시간
1 kW 4 s
10 kW 4 s
50 kW 6 s
100 kW 7 s
250 kW 11 s
500 kW 18 s
1 MW 32 s
2 MW 59 s
4 MW 114 s
2. 230 MB MO에 워드(word) 단위 데이터 저장
데이터 용량 시간
1 kW 4 s
10 kW 4 s
50 kW 6 s
100 kW 9 s
250 kW 16 s
500 kW 28 s
3. 1GB 하드 디스크에 바이트 (byte) 단위 데이터 저장
데이터 용량 시간
1 kW 5 s
10 kW 5 s
50 kW 6 s
100 kW 7 s
250 kW 10 s
500 kW 16 s
1 MW 27 s
2 MW 48 s
4 MW 92 s
4. 1GB 하드 디스크에 워드 (word) 단위 데이터 저장
데이터 용량 시간
1 kW 5 s
10 kW 5 s
50 kW 7 s
100 kW 8 s
250 kW 14 s
500 kW 24 s
참고 : 위 시간은 실제 측정된 값이며, 참고용 입니다.
영역 (zone) 판정 수행 시 : 약 500 ms
파라미터 (parameter) 판정 수행 시 : 약 700 ms